北京瞧办主任
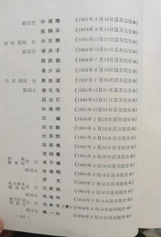
我在整理我的收藏里看到了这本1964年四月由国家内务部编印的《任命録》,红皮、精装、468页。没有秘密等级。信息量很大,都是我们的前辈,都是精英能人,有很多人后来不断地进步,像《南征北战》电影里的高营长的那句经典台词“又进步了……”。这个名録上的很多人,不是一般的进步,那个三代1号就在名録上,那可不是一般的进步了。这上边有我老爸的信息名字,可惜后来进步不大。
这本名録是由当时的内务部编印的,是不是当时没有设人事部啊?后来内务部也撤编转制了吧。我简单翻拍整理了一下,发上来一部分,后边的省份部分和大使部分没有全部发上来,468页太多了。我看到一些内容在这里先简单提示一下如:农垦部的部分,里边的将军真多啊,这真是时危聊从军,事定复为民(农)。里边的姜齐贤将军还是虎将独臂将军贺炳炎的岳父。驻古巴大使王幼平的女儿嫁给了胡耀邦的儿子;李鹏的母亲赵君陶是北京化工学院副院长,在这里有任命名单在册。在这里我的朋友们找找看看自己认识的老前辈和自己的亲朋好友的信息,这些信息是实打实的真料,是由国家级的背书的。
内务部是已撤消的国务院组成部门。其前身是成立于1949年的“中央人民政府内务部”,1954年改称“中华人民共和国内务部”,1969年撤消。相应的部门为民政部。
中央人民政府内务部主管民政工作,受中央人民政府政务院领导和政务院政治法律委员会的指导。中央人民政府内务部改为中华人民共和国内务部后,由国务院领导并接受国务院政法办公室的领导。国务院政法办公室撤消后,内务部直接受国务院领导。内务部成立之初,根据《中央人民政府内务部试行组织条例(草案)》的规定,内务部各机构的职责如下:办公厅:主管部令的公布,印信的典守,文件的收发缮校,图书、资料、档案的管理,会议的准备,督促决议的执行,联系各司工作,本部人、财、物的各项工作等。干部司:主管由本部办理的地方行政人员的任免、调动、调整,各级行政人员的铨叙、登记、统计、教育训练,工作人员的福利等。民政司:主管地方人民政权建设,地方行政机关的设置,行政区域的划分调整、名称和治所的厘定、图志的收集编印,疆界的测量勘查,水陆地图的审查,户籍、国籍的管理等。社会司:主管社会福利,游民改造,社团和宗教团体的登记,公葬公墓,人民褒扬奖励,移民,社会救济等。地政司:主管农村土地改革,土地的清丈、登记和颁发土地证,城市房地产政策,城市营建的计划考核,公共房地产的保护,其他地政事项。优抚司:主管烈、军、工属(指革命工作人员家属)和革命残废军人的优待抚恤,退伍安置和退休工作人员的处理,烈士褒扬追悼,烈士传记编纂和事迹遗物的搜集保管,烈士纪念物的兴建管理保护,优军,其他优抚事项等。
任命録第一页的说明:
說明
一、本任命录截止于一九六三年底,以一九五四年九月十五日第一届全国人民代表大会第一次会議至一九六三年十二月十八日第二届全国人民代表大会常务委員会第一一一次会議及一九五四年十月十五日国务院全体会議第一次会議至一九六三年十二月三十日第一四0次会議通过任免的名单为范围。
二、为了便于参考起見,經全国人民代表大会选举的最高人民法院院長、最高人民检察院检察長和省、自治区、直轄市人民代表大会选举的省長、副省長、主席、副主席、市長、副市長,也編入了本任命录。
三、业經任命的人員,凡在一九六三年内死亡或受撤职、降职以上处分並已报国务院批准或备查者,不再列入本任命录。








































































































































































































长按以下二维码并识别,进入《北京瞧办主任》公众号,可以放心审阅精彩内容

